Skip to contents

This function represents graphical the flows of a spatial interaction model, in different direct or aggregated forms.

Usage

# S3 method for class 'sim'
autoplot(
  object,
  flows = c("full", "destination", "attractiveness"),
  with_names = FALSE,
  with_positions = FALSE,
  show_destination = FALSE,
  show_attractiveness = FALSE,
  show_production = FALSE,
  cut_off = 100 * .Machine$double.eps^0.5,
  adjust_limits = FALSE,
  with_labels = FALSE,
  ...
)

Arguments

object

a spatial interaction model object

flows

"full" (default), "destination" or "attractiveness", see details.

with_names

specifies whether the graphical representation includes location names (FALSE by default)

with_positions

specifies whether the graphical representation is based on location positions (FALSE by default)

show_destination

specifies whether the position based "full" flow figure includes a representation of the destination flows (FALSE by default)

show_attractiveness

specifies whether the position based "full" flow figure includes a representation of the attractivenesses (FALSE by default)

show_production

specifies whether the position based "full" flow figure includes a representation of the productions (FALSE by default)

cut_off

cut off limit for inclusion of a graphical primitive when with_positions = TRUE. In the full flow matrix representation, segments are removed when their flow is smaller than the cut off. In the attractiveness or destination representation, disks are removed when the corresponding value is below the cut off.

adjust_limits

if FALSE (default value), the limits of the position based graph are not adjusted after removing graphical primitives. This eases comparison between graphical representations with different cut off value. If TRUE, limits are adjusted to the data using the standard ggplot2 behaviour.

with_labels

if FALSE (default value) names are displayed using plain texts. If TRUE, names are shown using labels.

...

additional parameters, see details

Value

a ggplot object

Details

The graphical representation depends on the values of flows and with_positions. It is based on the data frame representation produced by fortify.sim().

If with_position is FALSE (default value), the graphical representations are "abstract". Depending on flows we have the following representations:

  • "full": this is the default case for which the full flow matrix is represented. It is extracted from the spatial interaction model with flows() and displayed using a matrix representation with origin locations in rows and destination locations in columns. The colour of a cell corresponds to the intensity of a flow between the corresponding locations. To mimic the standard top to bottom reading order of a flow matrix, the top row of the graphical representation corresponds to the first origin location.

  • "destination": the function computes the incoming flows for destination locations (using destination_flow()) and represents them with a bar plot (each bar is proportional to the incoming flow);

  • "attractiveness": the function uses a bar plot to represent the attractivenesses of the destination locations (as given by attractiveness()). This is interesting for dynamic models where those values are updated during the iterations (see blvim() for details). When the calculation has converged (see sim_converged()), both "destination" and "attractiveness" graphics should be almost identical.

When the with_names parameter is TRUE, the location names (location_names()) are used to label the axis of the graphical representation. If names are not specified, they are replaced by indexes.

When the with_positions parameter is TRUE, the location positions (location_positions()) are used to produce more "geographically informed" representations. Notice that if no positions are known for the locations, the use of with_positions = TRUE is an error. Depending on flows we have the following representations:

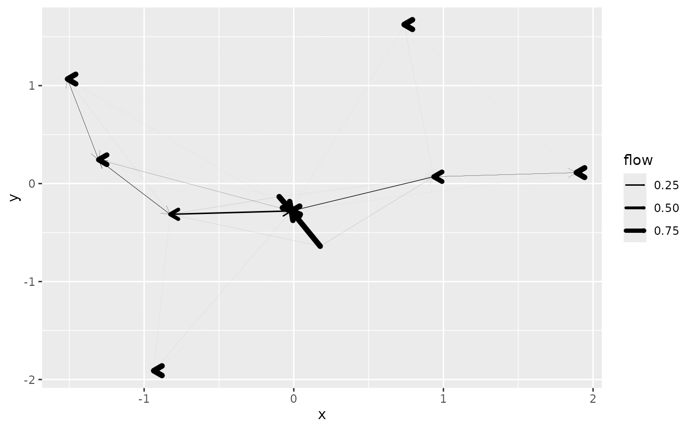
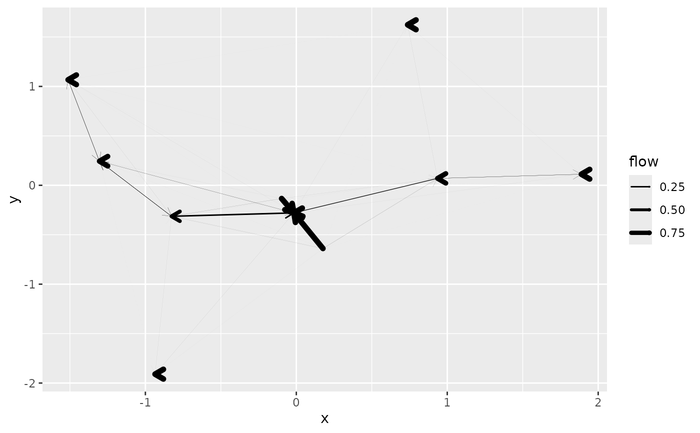
  • "full": this is the default case for which the full flow matrix is represented. Positions for both origin and destination locations are needed. The representation uses arrows from origin location positions to destination location positions. The thickness of the lines (linewidth aesthetics) is proportional to the flows. Only segments that carry a flow above the cut_off value are included. When the spatial interaction model is not bipartite (see sim_is_bipartite()), zero length segments corresponding to self exchange are removed. Additional parameters in ... are submitted to ggplot2::geom_segment(). This can be used to override defaults parameters used for the arrow shapes, for instance. Those parameters must be named. In addition to the individual flows, the representation can include location based information. If show_production is TRUE, the production constraints (obtained by production()) are shown as disks centred on the origin locations. If show_destination is TRUE, incoming flows (obtained by destination_flow()) are shown as disks centred on the destination locations. If show_attractiveness is TRUE, attractivenesses (obtained by attractiveness()) are shown as disks centred on the destination locations. show_destination and show_attractiveness are not compatible (only one can be TRUE). show_production is compatible with show_destination or show_attractiveness for bipartite models only (see sim_is_bipartite()). When disks are used, segments are drawn without arrows, while the default drawing uses arrows. This can be modified with the additional parameters.

  • "destination": the function draws a disk at each destination location using for the size aesthetics the incoming flow at this destination location (using destination_flow()). Only destinations with an incoming flow above the cut_off value are included.

  • "attractiveness": the function draws a disk at each destination location using for the size aesthetics the attractiveness of the destination. When the calculation has converged (see sim_converged()), both "destination" and "attractiveness" graphics should be almost identical. Only destinations with an attractiveness above the cut_off value are included.

For the position based representations and when with_names is TRUE, the names of the destinations are added to the graphical representation . If with_labels is TRUE the names are represented as labels instead of plain texts (see ggplot2::geom_label()). If the ggrepel package is installed, its functions are used instead of ggplot2 native functions. When disks are used to show aggregated flows, the names match the chosen locations: for destination flow and attractiveness, destination locations are named, while for production, origin locations are named (they can be both named when the model is bipartite).

See also

Examples

positions <- as.matrix(french_cities[1:10, c("th_longitude", "th_latitude")])
distances <- french_cities_distances[1:10, 1:10] / 1000 ## convert to km
production <- rep(1, 10)
attractiveness <- log(french_cities$area[1:10])
flows <- blvim(distances, production, 1.5, 1 / 150, attractiveness,
  origin_data = list(
    names = french_cities$name[1:10],
    positions = positions
  ),
  destination_data = list(
    names = french_cities$name[1:10],
    positions = positions
  ),
  bipartite = FALSE
)
ggplot2::autoplot(flows)

## bar plots should be almost identical if convergence occurred
sim_converged(flows)
#> [1] TRUE
ggplot2::autoplot(flows, "destination")

ggplot2::autoplot(flows, "attractiveness")

## names inclusion
ggplot2::autoplot(flows, "destination", with_names = TRUE) +
  ggplot2::coord_flip()

ggplot2::autoplot(flows, with_names = TRUE) +
  ggplot2::theme(axis.text.x = ggplot2::element_text(angle = 90))

## positions
ggplot2::autoplot(flows, "attractiveness", with_positions = TRUE) +
  ggplot2::scale_size_continuous(range = c(0, 6)) +
  ggplot2::coord_sf(crs = "epsg:4326")

ggplot2::autoplot(flows, "destination",
  with_positions = TRUE,
  with_names = TRUE
) +
  ggplot2::scale_size_continuous(range = c(0, 6)) +
  ggplot2::coord_sf(crs = "epsg:4326")

ggplot2::autoplot(flows, "destination",
  with_positions = TRUE,
  with_names = TRUE, with_labels = TRUE
) +
  ggplot2::scale_size_continuous(range = c(0, 6)) +
  ggplot2::coord_sf(crs = "epsg:4326")

ggplot2::autoplot(flows, with_positions = TRUE) +
  ggplot2::scale_linewidth_continuous(range = c(0, 2)) +
  ggplot2::coord_sf(crs = "epsg:4326")

ggplot2::autoplot(flows,
  with_positions = TRUE,
  arrow = ggplot2::arrow(length = ggplot2::unit(0.025, "npc"))
) +
  ggplot2::scale_linewidth_continuous(range = c(0, 2)) +
  ggplot2::coord_sf(crs = "epsg:4326")

## individual flows combined with destination flows
## no arrows
ggplot2::autoplot(flows,
  with_positions = TRUE,
  show_destination = TRUE
) +
  ggplot2::scale_linewidth_continuous(range = c(0, 2)) +
  ggplot2::coord_sf(crs = "epsg:4326")

## readding arrows
ggplot2::autoplot(flows,
  with_positions = TRUE,
  show_destination = TRUE,
  arrow = ggplot2::arrow(length = ggplot2::unit(0.025, "npc"))
) +
  ggplot2::scale_linewidth_continuous(range = c(0, 2)) +
  ggplot2::coord_sf(crs = "epsg:4326")