Skip to contents

This function combines spatial interaction model representations similar to the ones produced by autoplot.sim() into a single ggplot. It provides an alternative graphical representation to the one produced by autoplot.sim_df() for collection of spatial interaction models in a sim_df object.

Usage

grid_autoplot(
  sim_df,
  key,
  flows = c("full", "destination", "attractiveness"),
  with_names = FALSE,
  with_positions = FALSE,
  show_destination = FALSE,
  show_attractiveness = FALSE,
  show_production = FALSE,
  cut_off = 100 * .Machine$double.eps^0.5,
  adjust_limits = FALSE,
  with_labels = FALSE,
  max_sims = 25,
  fw_params = NULL,
  ...
)

Arguments

sim_df

a data frame of spatial interaction models, an object of class sim_df

key

the wrapping variable which acts as an identifier for spatial interaction models

flows

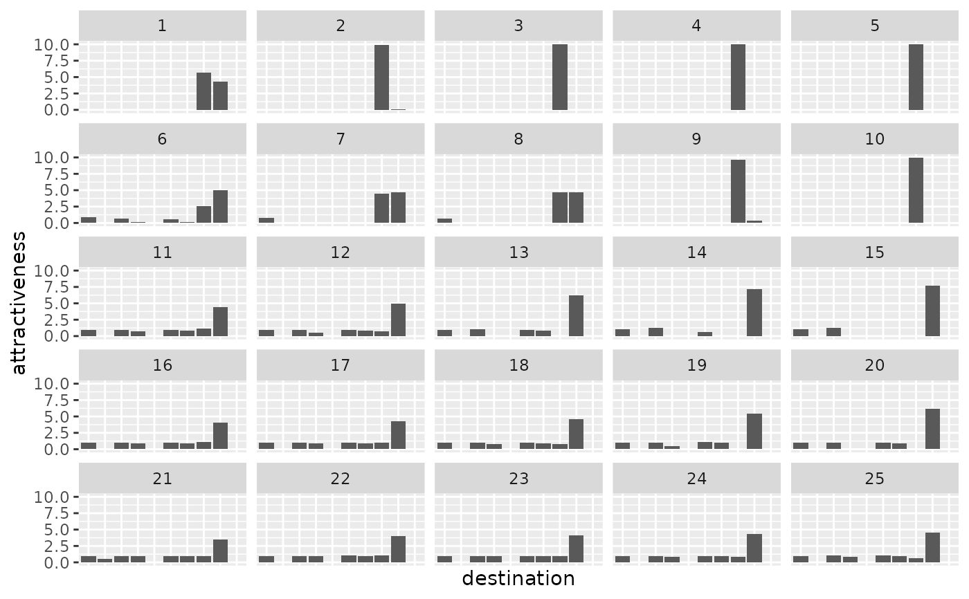
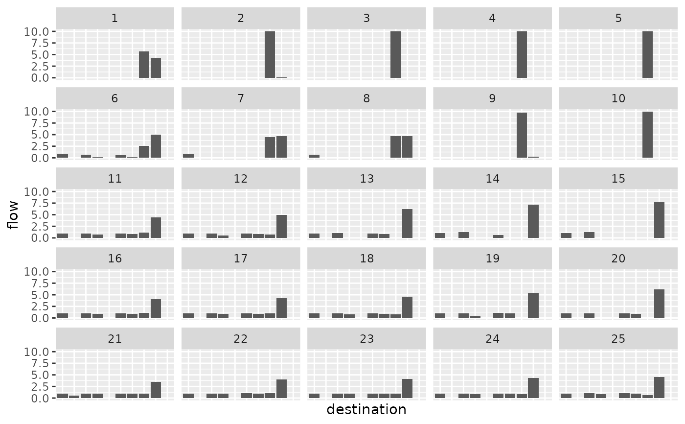
"full" (default), "destination" or "attractiveness", see details.

with_names

specifies whether the graphical representation includes location names (FALSE by default)

with_positions

specifies whether the graphical representation is based on location positions (FALSE by default)

show_destination

specifies whether the position based "full" flow figure includes a representation of the destination flows (FALSE by default)

show_attractiveness

specifies whether the position based "full" flow figure includes a representation of the attractivenesses (FALSE by default)

show_production

specifies whether the position based "full" flow figure includes a representation of the productions (FALSE by default)

cut_off

cut off limit for inclusion of a graphical primitive when with_positions = TRUE. In the full flow matrix representation, segments are removed when their flow is smaller than the cut off. In the attractiveness or destination representation, disks are removed when the corresponding value is below the cut off.

adjust_limits

if FALSE (default value), the limits of the position based graph are not adjusted after removing graphical primitives. This eases comparison between graphical representations with different cut off value. If TRUE, limits are adjusted to the data using the standard ggplot2 behaviour.

with_labels

if FALSE (default value) names are displayed using plain texts. If TRUE, names are shown using labels.

max_sims

the maximum number of spatial interaction models allowed in the sim_df data frame

fw_params

parameters for the ggplot2::facet_wrap call (if non NULL)

...

additional (named) parameters passed to autoplot.sim()

Value

a ggplot object

Details

The rationale of autoplot.sim_df() is to display a single value for each spatial interaction model (SIM) in the sim_df data frame. On the contrary, this function produces a full graphical representation of each SIM. It is therefore limited to small collection of SIMs (as specified by the max_sims parameter which default to 25).

Under the hood, the function uses fortify.sim() and shares code with autoplot.sim() to have identical representations. It is simply based on facet wrapping facility of ggplot2. In particular the key parameter is used as the wrapping variable in the call to ggplot2::facet_wrap(). If not specified, the function generates an id variable which ranges from 1 to the number of SIMs in the sim_df data frame. If specified, it is evaluated in the context of the data frame and used for wrapping. Notice that if the expression evaluates to identical values for different SIMs, they will be drawn on the same panel of the final figure, which may end up with meaningless representations. Parameters of ggplot2::facet_wrap() can be set using the fw_params parameter (in a list).

Examples

positions <- as.matrix(french_cities[1:10, c("th_longitude", "th_latitude")])
distances <- french_cities_distances[1:10, 1:10] / 1000 ## convert to km
production <- rep(1, 10)
attractiveness <- log(french_cities$area[1:10])
all_flows <- grid_blvim(distances, production, seq(1.05, 1.45, by = 0.1),
  seq(1, 3, by = 0.5) / 400,
  attractiveness,
  bipartite = FALSE,
  epsilon = 0.1, iter_max = 1000,
  destination_data = list(
    names = french_cities$name[1:10],
    positions = positions
  ),
  origin_data = list(
    names = french_cities$name[1:10],
    positions = positions
  )
)
all_flows_df <- sim_df(all_flows)
## default display: flows as matrices
grid_autoplot(all_flows_df)

## custom wrapping variable
grid_autoplot(all_flows_df, paste(alpha, "~", beta))

## bar plots
grid_autoplot(all_flows_df, flows = "destination")

grid_autoplot(all_flows_df, flows = "attractiveness")

## with positions
grid_autoplot(all_flows_df, flows = "destination", with_positions = TRUE) +
  ggplot2::scale_size_continuous(range = c(0, 2)) +
  ggplot2::coord_sf(crs = "epsg:4326")

grid_autoplot(all_flows_df, with_positions = TRUE) +
  ggplot2::scale_linewidth_continuous(range = c(0, 1)) +
  ggplot2::coord_sf(crs = "epsg:4326")